About
Education
Experiences
News
- SiriuS and GeoAda are accepted to NeurIPS 2025.
- TREAT is accepted to NeurIPS 2024.
- Awarded SenseTime Scholarship, a research scholarship selecting 30 undergraduate AI talents in China.
- Our paper was selected for the Best Paper Award and a Spotlight Talk at the Neurips 2023 DLDE Workshop!
- One paper accepted to AAAI 2023.
Selected Publications and Manuscripts, (Full List: here)

PRISM-Physics: Causal DAG-Based Process Evaluation for Physics Reasoning
Preprint 2025

GeoAda: Efficiently Finetune Geometric Diffusion Models with Equivariant Adapters
NeurIPS 2025

SiriuS: Self-improving Multi-agent Systems via Bootstrapped Reasoning
NeurIPS 2025

OpenThoughts: Data Recipes for Reasoning Models
Preprint, 2025

Protein Large Language Models: A Comprehensive Survey
Findings of EMNLP 2025

Physics-Informed Regularization for Domain-Agnostic Dynamical System Modeling
NeurIPS, 2024
Best Paper Award @ NeurIPS 2023 DLDE

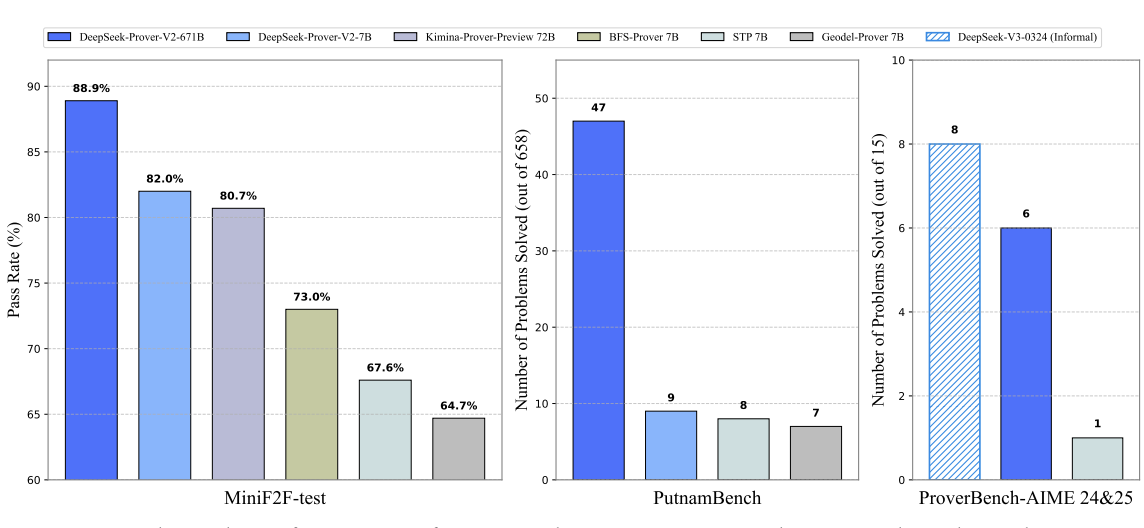
Deepseek-prover-v2: Advancing formal mathematical reasoning via reinforcement learning for subgoal decomposition
Preprint, 2025

DeepSeek-prover-V1.5: Harnessing Proof Assistant Feedback for Reinforcement Learning and Monte-Carlo Tree Search
ICLR 2025
Selected Honors & Awards
- NeurlPS 2024 Scholar Award, 2024
- Outstanding Graduates of Zhejiang Province and Zhejiang University, 2024
- SenseTime Scholarship, 2023
- Best Paper Award, NeurIPS 2023 Workshop (Deep Learning and Differential Equation), 2023
- Zhejiang University Scholarship - First Prize (Top 3%), 2023
- CKC Honors College Scientific Research Scholarship (Top 10 Projects), 2023
- Silver Medal of Chinese Physics Olympiad, 2019
- First Prize of Chinese Physics Olympiad, 2019
Top